| Analyzing merged women and children data sets [message #24334] |
Sun, 24 April 2022 08:17  |
Luanda
Messages: 4 Registered: April 2022
|
Member |
|
|
Hi everyone,
I am trying to analyze the effect of women socioeconomic chacteristics (including Intimate partner violence) on their children health.
I have merged children and women data sets but it appears that women interviewed for domestic violence do not have data on their children health status making it difficult to analyze the association.
If I keep only women interviewed for domestic violence in my merged data set, I loose all observations for children health. I don't know if I am mistaken or if this is the way the survey is designed.
If this is not the case, please assist on how I can proceed with my analysis.
Looking forward to your feedbacks.
Thanks!
|
|
|
|
|
|
| Re: Analyzing merged women and children data sets [message #24349 is a reply to message #24346] |
Mon, 25 April 2022 16:21   |
Luanda
Messages: 4 Registered: April 2022
|
Member |
|
|
Dear Kerry,
Thank you for your feedback.
As far as your questions are concerned, please note the following :
I am using the 2013-2014 DR.CONGO DHS.
My main variables of interest are child health outcomes particularly malaria status (variable hml32_01 to hml32_24 in the children module, data file CDKR61FL) and anemia level (variable hw57 from the same data file).
I am trying to explore the relationship between the above mentioned variables and women socioeconomic characteristics including various forms of intimate partner violence (variables d106, d107, d108 and d121 from the data file CDIR61FL)
Therefore, I merged those two data sets, CDIR61FL being the master and CDKR61FL the "using file" using stata16. The ID variables are v001, v002 and v003 representing, in both data files, cluster number, household number and respondent's line number.
The issue I am facing is that when I try to focus on women selected for domestic violence module (keep if v044==1) the children health outcomes variables loose all their observations.
I hope this helps you understand better my query.
Nonetheless, I can still provide other details if necessary.
Looking forward to your assistance.
Best regards.
Luanda.
|
|
|
|
| Re: Analyzing merged women and children data sets [message #24350 is a reply to message #24349] |
Tue, 26 April 2022 15:47   |
Janet-DHS
Messages: 937 Registered: April 2022
|
Senior Member |
|
|
Following is a response from Senior DHS Specialist, Kerry MacQuarrie:
Dear Luanda,
Thank you for this additional information. It points us to the problem right away. In this case, it is not an issue of your merge not working correctly, but that there are no cases to merge.
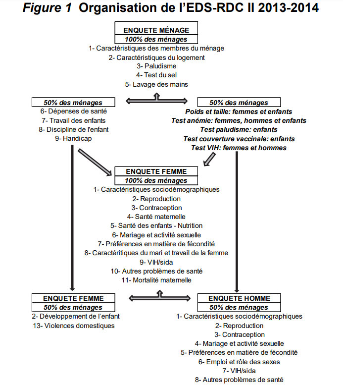
Have you consulted the survey final report for the 2013-2014 DRC DHS (https://www.dhsprogram.com/pubs/pdf/FR300/FR300.pdf)? On page 8, it describes how the child outcomes you are interested in, anemia and malaria, were collected in a subsample of 50% of surveyed households. The domestic violence module was also administered in a subsample of 50% households. However, it was administered in the other 50% subsample from that administered the anemia and malaria information. In this particular survey, there are no households in which both the children's anemia and malaria data AND the mother's domestic violence data were collected. So no analysis for associations between these factors can be conducted with this survey.
As a tip, if you were to conduct this merge (e.g. for a different survey), I would recommend switching your "using" and "master" datafiles so that the KR file is the master file. This keeps children as the unit of analysis and adds the relevant women's data to each child's case.
|
|
|
|
|
|